이번 글은 자연상수 e에 대해서 알아보겠다.
먼저 e는 2.7182818... 정도의 값을 가진 상수로, "Euler's Number"의 약자인데
오일러가 이 상수를 의미 있는 숫자로 인식하고 출판한 서적에도 적어놓는 등
대중화시켰기 때문에 이렇게 줄여졌다.
참고로 가장 먼저 이 수를 발견한 사람은 "베르누이"이다.
1. 유래와 의의
앞서 이 수를 가장 먼저 발견한 사람이 "베르누이"라고 했는데,
베리누이는 이 개연성 없는 수를 어떻게 발견하게 되었을까?
그는 은행에 예금을 했을 때 이자를 계산하다가 이 수를 알아내게 되었다.
1 - 1. 1년에 1번
만약에 1년에 1번, 100%의 이자를 받는다면 어떨까?
1이라는 돈을 넣으면 1년이 지난 후 100%의 이자를 받기 때문에 1+1 = 2가 된다.
1->2
1 - 2. 1년에 2번
이번엔 1년에 2번, 50%씩 이자를 받는다면 어떨까?
1이라는 돈을 넣으면 1.5가 되고, 1.5에서 50%를 받기 때문에 1.5 + 0.75 = 2.25가 된다.
1->1.5->2.25
1 - 3. 1년에 3번
이번에는 1년에 3번, 33.3...% 씩 이자를 받는다면?
1에서 1.33, 1.33에서 33%는 0.4389쯤 이기에 1.7689이고, 여기서 33%를 하면 2.3526.. 이 된다.
1 -> 1.33 -> 1.7689 -> 2.3526 (실제로는 2.37 정도)
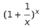
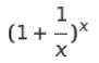
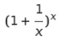
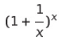
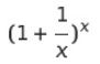
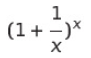
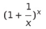
1 - 4. 1년에 무한번
앞선 3개의 계산을 보면 공통점이 있다. 1번일 때는 화살표가 하나,
2번일 때는 2개, 3번일 때는 3개로 연산의 횟수와 같다는 걸 볼 수 있다.

그리고 퍼센트를 계산하는 식과 결합하여 횟수는 지수의 형태로 표기한다면 이렇게 된다.
위에서 한 계산대로 해보자.
x에 1을 넣으면 계산한 대로 2가 나오고,
x에 2를 넣으면 1.5의 제곱으로 2.25가 나온다.
x에 3을 넣어도 계산한 값과 같아진다.

그럼 x의 값을 계속 늘려보면 어떻게 될까?
이걸 직접 계산하기는 힘들고, x의 값에 5000 정도를 넣어보면
2.718.. 정도의 값이 나오는 걸 볼 수 있다.
1-5. e가 가지는 의미
따라서 e의 값은 연속된 성장의 값을 계산해야 할 때 주로 사용된다.
미분과 적분도 "극한"이라는 개념에서 출발하는데, 극한은 어떤 값으로 계속 다가가야 한다.
이때, 다가간다는 말을 어떠한 값으로 연속해서 성장시킨다고 생각하면
미분과 적분에서 e가 나오는 이유를 알 수 있을 것이다.
(물론 다가간다는 말은 수학적으로 엄밀하지 않다)

만약에 𝝅 를 중요한 상수로 인지하지 못했다고 가정해 보자.
우리는 원의 넓이를 구할 때 위와 같은 공식을 사용하게 된다.
이걸 계산할 수 있는가? 원을 포함하는 개념이 나올 때마다 계산할 수 있는가?
사실상 불가능하다. 대신에 우리는 이걸 𝝅로 표현하여 계산에 편의를 제공한다.
e도 마찬가지이다. e가 나와야 할 많은 상황이 있는데,
그때마다 2.718281828... 이러고 있으면 계산이 사실상 불가능하다는 것이다.
이것이 2.7182818...이라는 수를 e라고 정의하는 이유이다.
2. 계산하는 방법

앞서 한 가지 방법으로 e를 계산했다.
위의 식에 무수히 큰 x값을 집어넣는 방식으로 말이다.
2-1. 극한을 활용한 계산식.

그럼 이걸 극한을 활용해서 위와 같이 적어주면 e값과 같아지게 된다.
여기서 극한을 쓴 이유는 x가 커질수록 e의 값에 근접해지기 때문이다.
극한을 활용해서 x가 그 어떠한 실수보다
커지는 상태라고 가정하면 저 식의 결괏값은 e 그 자체가 되게 된다.

또한 이 식을 치환하면 위의 식으로도 변형할 수 있다.
이건 반대로 "0에 가까운 수"를 넣을수록 e와 가까워지게 된다.
0을 넣어버리면 분모가 0이 되기 때문에 안된다.
2-2. 테일러급수를 활용한 계산식
사실 앞서 소개한 극한을 활용한 계산식에는 한 가지 문제가 있다.
계산하기 굉장히 어렵다는 것이다.
2-2-1. 문제점.

와닿을 수 있도록 한 가지 문제를 내겠다.
당신을 이걸 계산할 수 있는가?
물론 1시간 정도면 할 수 있을 것 같기도 하다.
하지만 100을 넣은 저 식의 값은 2.70481..으로
소수점 아래 2번째 자릿수조차 근사해내지 못한다.
2-2-2. 해결안.
e를 구하는 연산을 줄이는 방법을 찾고 싶다면,
이 챕터의 제목처럼, 테일러급수를 활용하면 된다. (이번 글에서는 매클로린급수이기도 함)
https://alpaca-code.tistory.com/187 (테일러급수를 모른다면 필수적으로 보고 올 것)
테일러 급수, 매클로린 급수.
테일러급수란 무한번 미분 가능한 함수 f(x)에 대해 도함수(미분)를 통한 추측으로 다항함수를 구성해서 f(x)와 근사한 새로운 다항함수를 만드는 과정이다. 그리고 매클로린급수란 대입할 수(중
alpaca-code.tistory.com
먼저, "자연지수 함수"라는 함수가 있다.
이 함수의 특징은 미분하면 자기 자신이 나온다는 것이다.
이 성질을 이용해서 테일러급수 전개를 해보자.


식은 이렇게 두고 테일러급수 전개를 통해 계수를 추측해 보자.


먼저, 원래의 두 함수에 0을 넣어보자. 이렇게 된다.

이제 두 함숫값을 등식으로 놓으면 위와 같고, d = 1이 된다.

이번엔 두 함수를 미분해 보자.
f(x)는 미분하면 위의 사진과 같고,
자연지수 함수는 미분하면 자기 자신이 나오는 게 특징이다.


이제 미분한 두 함수에다가 0을 넣어서 결과를 보자.
여기서도 등식을 세워보면 c가 1인걸 알 수 있다.

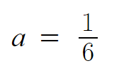
그리고 미분한 두 함수를 한번 더 미분해 보자. 이렇게 된다.

또 똑같이 두 이계도함수에 0을 넣어보자. (미분을 2번 하면 이계도함수)

이번에도 마찬가지로 등식 세워주면 2b = 1, b는 1/2인걸 알 수 있다.

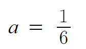
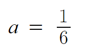
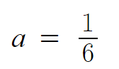
이걸 반복하면, a의 값도 구할 수 있다. (1/6)

이제 f(x)를 구했으니 그래프를 그려보자.

0 근처에서는 굉장히 비슷한 걸 알 수 있다.
근데 사실 e를 구하려면 x가 1일 때를 구해야 한다.
g(1) = e^1 = e이기 때문이다.
그러려면 이 항을 무수히 많이 늘리면 된다. 항이 많아질수록 정확해진다.
우리는 테일러급수를 전개하면서 한 가지 특징을 볼 수 있었다.
a의 값인 1/6 은 x^3의 계수인데,
6은 3!이다.
b도 마찬가지로 1/2인데 x^2의 계수이고
2! = 2이다.
https://alpaca-code.tistory.com/96( !, 팩토리얼의 의미)
수학 !(느낌표) 의미 (계승, 팩토리얼)
수학에 관심을 가즈고 여러 공식을 찾아본 사람이거나 유튜브에서라도 한 번쯤은 숫자 뒤에! 표가 있는 걸 볼 수 있다. 이 느낌표는 놀랐다는 말이 아닌 "팩토리얼" 또는 "계승"이라 읽으며 만약!
alpaca-code.tistory.com
c와 d도 마찬가지이다.

따라서 시그마를 이용해서 표현해 줄 수 있다.
반복을 6번만 해줘도 2.718 까지는 정확하게 나온다.
앞선 극한을 이용한 풀이와 비교하면 미친 듯이 연산을 아낄 수 있다.
3. 활용
e는 앞서 말한 대로 무언가의 연속적 성장을 표현할 때 나온다.
그래서 자연로그라는 대표적인 e를 활용하는 연산도 있다.
(로그의 밑이 e인 경우임)
좀 쓰기 어려운 예시이긴 하지만,
오일러 등식에도 나오고 앞서 본 자연지수함수,
적분에서도 나온다.
https://alpaca-code.tistory.com/223
세상에서 가장 아름다운 수식 - 오일러 (항)등식의 가장 간단한 증명(유도).
이번 글에서는 세상에서 가장 아름다운 수식으로 불리고 있는 오일러 등식, 오일러 항등식에 대해서 알아보도록 하겠다. 인터넷에 찾아보니 테일러 공식을 활용한 유도는 볼 수 있었는데 그걸
alpaca-code.tistory.com
(현재 보고 계신 글을 남기고 무려 5달이 지나서, 자연지수 함수, 테일러 급수, 팩토리얼, 호도법 등
저의 수학 글 중 20% 정도 되는 주제들을 집약해야만 유도할 수 있는 오일러의 항등식.
세상에서 가장 아름다운 수식으로 불리는 등식의 공식을 유도하는 데에 사용되었습니다)
여기까지 e에 관해서 글을 써봤다.
저번부터 주제가 조금 힘들어지는 감이 있는 것 같다.
다음 수학글은 게임수학으로 돌아가는 것도 필요할 것 같다.
테일러급수 쪽이 조금 어려운 것 같기도 하다.
내용지적이나 모르겠는 점은 댓글로 달아줬으면 좋겠다.
이상으로 도움이 되었길 바라며,
끝.
'수학' 카테고리의 다른 글
| 수학) 어느 각도의 포물선이 가장 멀리 날아가는가? (증명) (5) | 2024.02.03 |
|---|---|
| 구의 부피 공식 증명 (구분구적법) (2) | 2023.11.06 |
| 테일러 급수, 매클로린 급수. (정의와 사용방법, 실제 예제) (4) | 2023.10.01 |
| 수학) 어느 각도의 포물선이 가장 멀리 날아가는가? (실험) (2) | 2023.06.04 |
| 한국 수학 개념 영어 표기방법. (0) | 2023.01.28 |
댓글