언제부터인가 사람이 삼각비를 계산할 수는 없는걸까?
라는 궁금증이 생기기 시작했다.
예전에는 파이값에 이런 의문을 품었었다.
하지만 파이는 원 외, 내부로 도형을 그려
근삿값을 찾는 방법이 있어
사칙연산만으로 구할 수 있다는 점이
내가 이해하기에 충분했지만
삼각비는 일단 기본적으로
어떤 존재하는 값이 아니라
비를 분수로 나타낸것에 그치기 때문에
상식적으로 원하는 각도의 삼각형을 그린다음에,
거리를 측정하여 구할수 밖에 없다는
결론을 내렸다.
그런데 잘 생각해보면 sin, cos , tan계산기는 무슨 원리로 작동할까?
컴퓨터는 사칙연산만을 할줄 아는데, 결국
사칙연산으로 바꿀수 있다는 말이 아닐까? 라는 생각이 들었다.
그래서 찾아본결과 테일러 급수 라는 원리에 의한
삼각비를 구하는 사칙연산 공식이 있다는걸
알았다.
그렇다면 테일러 급수는 무엇일까?
도함수들의 한 점에서의 값으로 계산된 항의 무한합으로 해석함수를 나타내는 방법이라고 하는데...
솔직히 잘 모르겠다. 우리는 테일러 급수를 공부할건 아니기 때문에
간단히 무슨 기능인지 말해보자면 미분가능한 함수를
다항함수로 근사하게 구할수 있다는 것인데,
솔직히 아직도 잘 모르겠다.
정확하진 않지만 개인적으로 이해한 방법을 말하자면,
사칙연산으로 구할수 없는 관계를
근사(비슷)한 값으로 구하게 해주는 걸 말한다. 고 이해했다.
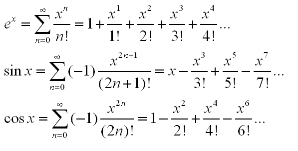
이쯤 얘기는 마치고,
식을 보여주겠다.

앞의 모든 말을 듣고도 어려워보이지 않는가?
그렇다 사실 나름 높은 개념이기 때문에
식만 알아두는것에서 그치는 것이
아직 학생이거나 문과인 사람들을 위해
좋은 방법이다.
2023/10/29
이때는 잘 몰라서 이렇게 적어놓았지만,
시간이 지나 이 식에 대한 원리까지 파악했는데, 그건 테일러 급수(or 매클로린 급수) 전개로,
이에 관한 글도 적어놓았으니까 원리를 알고 싶다면 참고하라.
https://alpaca-code.tistory.com/187 (테일러 급수, 매클로린 급수)
테일러 급수, 매클로린 급수. (정의와 사용방법, 실제 예제)
테일러급수란 무한번 미분 가능한 함수 f(x)에 대해 도함수(미분)를 통한 추측으로 다항함수를 구성해서 f(x)와 근사한 새로운 다항함수를 만드는 과정이다. 그리고 매클로린급수란 대입할 수(중
alpaca-code.tistory.com
그래도 한번은 계산해보고 싶은 사람들을 위해
말해주자면, 뒤에 !(느낌표)는 팩토리얼 으로,
만약 6! 이면 6 x 5 x 4 x 3 x 2 x 1로 한 숫자씩 내려가며
모두 곱해주는걸 말한다.
이상으로
도움이 되었길 바라며,
끝.
'수학' 카테고리의 다른 글
| 제 1 코사인 법칙. (유도하는 방법) (0) | 2022.11.02 |
|---|---|
| 수학 !(느낌표) 의미 (계승, 팩토리얼) (0) | 2022.10.12 |
| 숫자에 E혹은 e가 붙은 수 계산하기.(과학적 기수법) (0) | 2022.10.07 |
| 어떤 수의 음수제곱, 0제곱 (0) | 2022.09.21 |
| 벡터의 각도 구하기(라디안, 도, 역탄젠트) (2) | 2022.09.20 |
댓글