이번 글에서는 유리수 범위 안에 있는 지수를 계산하는 방법을 알아본다.
크게 정수, 분수(유리수)로 나눠서 알아보겠다.
참고로 유리수의 간단한 정의는 분수로 표현 가능한 수이다.
그렇기에 이 두 가지만 알면 지수가 유리수인 수의 계산을 할 수 있게 된다.
(기록용이라 퀄리티를 신경 쓰지 않을 것)
1. 지수 연산
먼저, 지수란 무엇일까?

여기 위와 같은 수가 있다.
밑은 이름처럼 아래에 있는 수이고, 지수는 위에 달린 수이다.
밑 : a , 지수 : b
그리고 여기에는 "1에서부터 a를 b만큼 곱하라"라는 뜻이 내재되어 있다.
따라서 간단한 예를 들어보자.

이걸 해석하면, "1에서 2를 2번 곱하라"라는 뜻으로, 1x2x2 = 4가 된다.

이건 "1에서 2를 5번 곱하라"라는 뜻으로, 1x2x2x2x2x2 = 32가 된다.
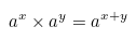
1-1. 지수 법칙




그리고 지수끼리 계산할 때는 위의 몇 가지 법칙들이 성립한다.
또 다른 지수법칙으로는 무언가의 0 제곱은 1이라는 것이다.
이유는 "1에서" 몇번을 곱하는 것이기 때문에 어떤 수더라도 0번 곱하면
1과 같기 때문에 무언가의 0 제곱은 1이다. (1은 곱셈의 항등원)
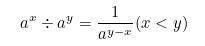
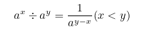
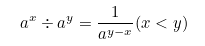
사실 예외가 있는데, 0의 0 제곱이다.
0의 0 제곱은 정의하지 않는다. 3번 사진을 활용해서 계산하면
0/0이라는 분수가 나오는데, 분모가 0인 수는 정의하지 않기 때문이다.
잘 알아두자.
2. 정수
정수는 간단하다. 우리 모두가 알고 있듯 지수만큼 곱해주면 된다.

앞서 예제로 나왔던 것처럼 a를 b번 곱해주면 해결된다.
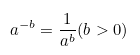
다만 문제가 있다면 b가 음수인 경우이다.
예제를 보자.

1에서 2를 -2번 곱하라는 게 대체 뭔 뜻일까?
이럴 때는 -의 의미를 "반대로"라는 뜻으로 생각하면 된다.

곱하기의 반대니까 "1에서 2를 2번 나누어라"로 생각하면 된다.

이걸 일반화 해주면 위와와 같이 표현 가능하다.
3. 분수 (유리수)
이번엔 유리수의 경우를 알아보자.

먼저, 무언가의 0.5 제곱은 루트를 씌운 것과 같다는 사실에 주목하자.

이걸 분자와 분모로 나눠 따로 생각해 보면 위와 같이 표현 가능해진다.

그리고 그걸 3개의 변수로 일반화해 주면 이렇게 표현된다.
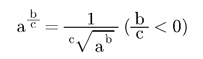
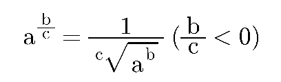
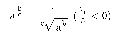
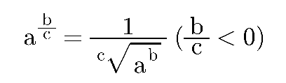
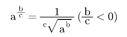
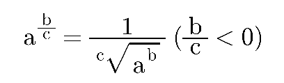
그리고 마지막 문제는 지수가 음수인 유리수일 경우인데,
이것도 앞선 정수와 마찬가지로 역수로 표현하면 된다.

따라서 위의 공식이 지수가 분수이며 음수인 수의 계산 공식이다.
여기까지 유리수의 지수를 가진 수의 계산법에 대해 소개해봤다.
그냥 상식으로 알아두는 사람이 많아졌으면 좋겠다.
이상으로 도움이 되었길 바라며,
끝.
'기록용' 카테고리의 다른 글
| Unreal Engine 5) 텍스쳐 각종 맵 연결법 (0) | 2025.04.06 |
|---|---|
| 픽셀 계단 현상 해결하기 - Anti ailasing (AA, 안티 앨리어싱) (0) | 2024.08.30 |
| 기록용) 유니티 마우스로 카메라 회전(x축만), 3인칭 이동 (0) | 2023.04.01 |
| Unreal Engine 5) Timeline(Animation) Paused 해결법 (0) | 2023.03.12 |
| 코딩에서의 인수와 인자의 차이 (2) | 2023.01.19 |
댓글