*1년전 고등학교에 제출했던 보고서를 본론과 자료만 재활용한 글입니다*
전반적 이해
우선은 전반적인 이해부터 시작했다. 대중들의 소수에 대한 호기심을 위해서 나오는 여러 영상이나 글들을 읽고 방향성에 대해서 감을 잡으려 시도했다. [1-6] 이런 글이나 영상들에서 나오는 이야기들은 대체로 비슷했다. 리만 가설의 역사에 대한 부분, 만약 풀린다면 어떻게 될지에 대한 기대, 이게 얼마나 대단한 가설인가에 대한 고찰 등이 있었다. 아는 내용도 모르는 내용도 있었지만, 방향성을 잡을만한 정보는 “제타 함수”에 관한 정보였다.
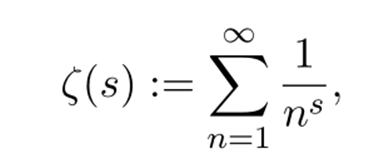
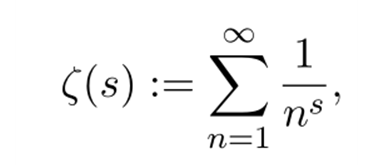
제타 함수

이것이 제타 함수이다. 안쪽의 정의역은 주로 s로 표시한다. :=이라는 기호는 정의할 때 사용한다고 한다. 아무튼, 자연수의 역수의 제곱의 무한 합과 같다. 고교 미적분 교과서의 무한급수와도 연관 지을 수 있어 보인다.

아무튼 이 제타 함수는 오일러가 제타 함수에 s의 값으로 2를 넣었을 때 (pi^2/6) 로 수렴한다는 사실을 밝혀낸 이후로 수학자들의 관심이 쏠려 정의역을 확장하기 위해 애써왔다고 한다. 나 또한 컴퓨터로 pi의 값의 근사치를 알아내려 노력한 시기가 있었기 때문에 저 식에 대해서 알고 있었다. 다만 저 식이 제타 함수에 2를 넣은 값으로 해석될 수 있다는 사실은 모르고 있었다. 이는 또한 “바젤 문제”라는 이름으로 불리기도 한다.
바젤 문제
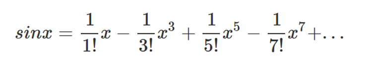
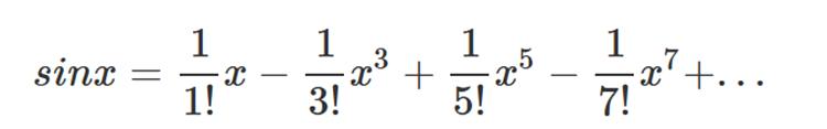
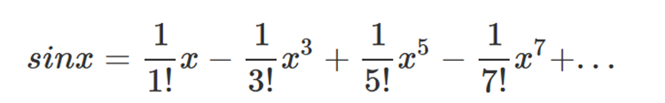
바젤 문제부터 증명하고 넘어가겠다. 우선 여러 가지 방법이 있었는데, 그중에 내가 할 수 있어 보이는 것은 테일러 급수를 이용한 풀이였다. [7, 8] 테일러 급수도 이 보고서에 넣으면 좋겠다만 이전에 내가 직접 설명한 블로그 글이 있어 대체하겠다. [9]

우선 sin x 함수를 테일러 급수로 전개하면 위와 같은 식이 나오게 된다. 이 식의 항은 무한하다. 그리고 나의 블로그 글 중에 sin x에 대해 간접적으로 증명한 글이 있길래 그 글 또한 참고 자료로 넣겠다. [10]

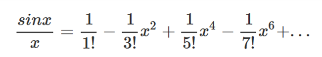
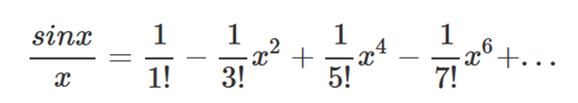
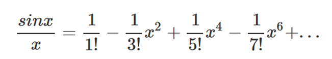
이후 형식을 맞춰주기 위해서 sin x를 x로 나눠준다. 이후 sin x/x = 0의 근을 추측하면 sin x = 0의 근이 0, +n𝜋, -n𝜋라는 것을 알 수 있기 때문에 분모가 0이 되지 않도록 근에서 0을 제외하면 n𝜋, -n𝜋임을 알 수 있다. 만약 sin x를 다항함수처럼 생각한다면 근을 기반으로 식을 재정의할 수 있다.

a는 정해지지 않은 최고차항의 계수이다. 여기서 좌변에 x가 0으로 향하게 극한을 취해주자.

이건 앞선 sin x/ x 식에서 x가 사라진다고 생각하면 쉽게 유도할 수 있다. (첫째항만 남음) 이 말은 우변도 x가 0으로 갈 때 1의 값이 나와야 하기에 식의 형식을 수정하면 아래와 같다.

형식이 맞는 항끼리 합차 공식을 이용하면 아래와 같이 정리할 수 있다.

이렇게 합차 공식을 통해 정리해준 식을 보면 x^2의 계수를 유추할 수 있게 된다.

한편, 위에서 테일러 급수로 전개한 sin x/ x의 식을 통해서도 x^2의 계수를 알 수 있다. -1/3! 즉 –1/6이라는 값이 그 대상이다. 이 둘을 등식으로 놓고 비교하면 마침내 바젤 문제의 풀이가 끝난다.

이렇게 해서 모든 자연수의 역수의 합은 pi^2/6이라는 것을 알 수가 있다.
바젤 문제를 해결한 것에 대해 축하하고 싶지만, 아직 빙산의 일각일 뿐이다. 아무튼 이런 혁신적인 사실 덕분에 제타 함수에 대한 관심이 올라갔고, 제타 함수는 당시 s≥1 이라는 조건 아래 성립하는 함수였기 때문에 수학자들은 언제나 그랬듯이 정의역을 확장하고 싶었을 것이다. s≥1을 지나, 실수를 넘어, 복소수까지 확장에 성공하였는데 그게 바로 리만-제타 함수이다.
리만 제타 함수
사실 이건 이렇게 간단하게 이야기할 만한 주제가 아니다. 복소수까지 확장 시킨 과정에 대한 이해가 필요하다. 여기서부터 자료가 급격히 적어지기 시작했다. 그나마 참고할 만한 자료가 예전부터 많이 참고한 유튜버 2명의 영상에 있었다. [11, 12]
내가 수학에 관심이 있기는 하지만 일개 고등학생이기 때문에 그 영상들을 아무리 천천히 여러 번 돌려보고 추가적인 자료를 찾아봐도 2개를 완벽히 이해할 수는 없었지만 리만 가설로 향하는 여러 가지 과정 중에 가까스로나마 이해할 수 있는 경로만 선택하여 리만 가설에 도달하기로 했다.

우선 복소수까지 나아가기 전에 실수부터 생각해 봐야 한다. 제타 함수는 정의상으로 s가 1 이상인 곳에서 성립한다. 하지만 만약에 제타 함수에 –1을 대입하여 생각해 본다면, 모든 자연수의 합이라는 시각으로 접근할 수 있다.
라마누잔 합

하지만 이렇게 생각하면 함수값은 양의 무한대로 발산해야 하기에 정의에 맞지 않는다. 나중에 생각하겠지만, 만약 수렴한다고 가정하면 –1/12가 나오는데, 예전에 나도 잠깐 탐구했었던 ‘라마누잔 합’이 등장해서 신기했다. 아무튼 이 과정을 통해서 알 수 있는 것은 s가 1 이상인 이유가 있다는 것이다.
또한 같은 맥락으로 리만 제타 함수에서 s = –2n(n은 자연수) 일 때 자명한 영점이라고 표현하는데, 막상 –2 등을 대입해 보면 (1+4+9+16...) 으로 일단 절대 0은 아닌 것 같아 보인다. 이를 정의할 수 있는 이유를 찾아야 한다. (*영점이란 함숫값이 0이 되는 정의역)
일단 인터넷에 나오는 여러 그래프에 대한 오해가 발생했다. 복소수는 실수부와 허수부로 구분하는데 복소평면에 복소수를 나타내면 마치 실수부와 허수부가 각각 x좌표와 y좌표처럼 나타내져서 2차원상의 점으로 표시되는 것으로 알고 있다. 따라서 리만 제타 함수에 복소수를 넣어서 어떤 결과가 나온다면 그 그래프는 최소한 3차원 이상이 되어야 한다.
3차원도 복소수를 넣어서 실수가 나오는 특별한 경우이며, 복소수를 넣어서 복소수가 나온다면 이론적으로 2차원의 입력과 2차원의 출력이므로 4차원 그래프가 나와야 하는데 인터넷의 여러 그림은 2,3차원에 머물러있고, 그걸 기반으로 설명한다. 이게 어떻게 가능할까?
Domain Coloring

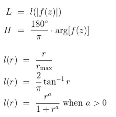
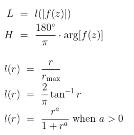
리만 가설에 대해 찾아보면 이런 그림이 보인다. 규칙성이 있다는 걸 표현하기 위한 잠깐의 자료인데, 이런 것들도 모두 그래프로 볼 수 있는데 특별한 기법이 적용된 그래프였다. 이들은 “Domain coloring”이라는 기법에 의해 나타내어진 그래프이며, 복소수 함수를 나타낼 때 이용된다는 설명을 찾을 수 있었다. 내가 이해한 바로는 x축은 실수부, y축은 허수부로, 입력값의 위치를 나타내고, 명도(L)와 색상(H)을 복소수의 값을 기반으로 계산하여 점들을 나타낸 그래프라는 것이다. [13, 14]
따라서 입력값은 x축과 y축으로, 출력은 색상과 명도로, 즉 2차원 입력값과 2차원 출력을 가지면서도 2차원 그래프로 나타낼 수 있는 획기적인 방식인 것이다. 이렇게 4차원이여야 하는 그래프를 색상과 명도라는 발상으로 2차원에 끌어들일 수 있었다.

색상(H)와 명도(L)은 각각 다음과 같은 식을 통해 나타내어 진다고 한다. 이중에 모르는 말을 짚고 넘어가자면, arg[f(z)]에서의 arg, r_max 정도가 있을 것 같다. arg에 관한 정보는 최근 행렬을 배우고 싶다는 내 요청과 확률과 통계 선생님의 추천으로 구매한 “수학의 정석 – 행렬, 벡터, 복소평면”에서 확인할 수 있었다. [15]
복소수의 편각과 길이

직접 촬영하여 가져왔다. 한국어로 바꾸면 “편각”이라고 부르며 복소평면에 점 z를 나타낼 때 그 점을 P라고 하면 선분 OP와 x축이 나타내는 각이라고 한다. 따라서 arg[f(z)]는 공역이 복소수 범위인 함수 f의 함숫값 z를 복소평면에 나타냈을 때의 편각이다.
그러면 arg[f(z)]는 어느 각도라고 말할 수 있다. 각도 체계에는 라디안과 육십분법, 그레이드 등이 있는데 H를 나타내는 식에 (180°/pi)가 arg[f(z)]와 곱해진 이유는 각도 체계를 넘나들기 위한 것이다.
예전에 벡터와 삼각함수로 각도를 알아내는 것에 관심이 컸던 시기가 있어서 이에 대해 쉽게 파악할 수 있었다. 이에 대해서는 예전에 정리했던 글로 대체하겠다. [16] 결론적으로는 라디안을 각도로 변환해준 것이다. 즉 H는 0° - 360°의 값을 가질 것이다. 생각해보니 교육과정에서 배웠던 것 같기도 하다.
r_max는 [15] 자료에서 확인할 수 있었다. r의 최대값이라고 한다. r은 l(r)에서의 정의역을 나타내는 문자인데, l(r)은 양의 실수 r을 흑백 명도로 바꾸는 어떤 함수라고 한다. 따라서 L=l(|f(z)|)에서 |f(z)|는 함수값으로 나온 복소수의 크기 (복소평면에서 원점으로 부터의 길이) 이므로 복소수의 특정한 값인 길이를 명도로 바꿔준 값이라고 볼 수 있다.
H는 복소수의 편각을, L은 복소수의 크기라는 복소수만의 특성을 지닌 정보들을 색과 명도로 표현했기에 서로 다른 복소수들끼리 구분이 가능하고 연관성을 나타낼 수 있어진다.

이런 그래프의 경우는 Re와 Im에 대해서 들어봤어야 했다. 예전에 사원수에 대해서 다룬 적은 있었다만 복소수 자체에 크게 관심이 없어 그런지 저 기호들의 의미를 몰랐다. Re는 복소수의 실수부, Im은 복소수의 허수부라고 한다.

이런 3차원 그래프의 경우는 2차원은 x값 복소수의 실수부와 허수부를 표현하는데 사용하고, y값 복소수의 실수부나 허수부 둘 중 하나를 선택하여 표현한 것이라고 한다.
복소수의 회전, 복소 지수

이 부분에서 또 이해가 되지 않았다. 이걸 알기 위해서는 복소 지수에 대한 이해가 필요하다. 영상을 보면 회전에 관한 이야기가 나온다. 복소평면에서의 회전을 공부한 적이 있었는데, 허수(i)를 곱하면 복소 평면상에서 90° 회전한다는 정보를 알고 있었다. (위 사진)
하지만 영상에서는 복소 지수라는 개념이 나왔는데, 이것도 회전에 연관되어있다고 표현하여 내가 곱하기를 제곱과 헷갈리고 있나 혼동되었다. 더 자세히 알아본 결과 복소 지수가 회전에 대한 더욱 일반적인 표현이고 허수를 곱하는 것은 이 복소 지수 회전에 대한 특수한 경우라는 정보를 알게 되었다.

이 그림을 이해하기 위해서 또 몇 시간을 썼다. 가장 문제인 부분은 (1/2)^i 가 나타내는 각도가 어떻게 정해지느냐는 문제이다. 여러 자료를 둘러보다가 이번엔 ai에게 이론을 전달받았고 “(1/2)^i의 편각(?)을 알려줘“라는 프롬프트 아래 여러 수식들과 함께 ”약 39.7°“라는 주장을 얻었다. 위 사진을 현실에서 각도기를 통해 측정하자 같은 값이 나와 받아들이기로 했다. 1학기 때 각도에 대한 관심이 많았어서 학교에 각도기를 가져왔던 점이 크게 작용했다.
복소수의 극형식과 오일러 공식

일단 정답인지는 알 수 없으나 이런 과정들을 알게 되었다. 복소수의 극 형식은 앞선 수학의 정석 사진에서, 오일러 공식은 내가 가장 최근에 탐구한 수학 주제로 증명한 글이 있다. [17]

일단 (1/2)을 극 형식으로 표현하라고 한다. 앞선 수학의 정석에서의 공식에 따르면 위와 같다. ai의 1번 대답에만 또 30분을 고민하고 있었다. 극 형식을 복소수가 아닌 실수에 쓰는 것이 의미가 있나 싶었지만 복소수가 실수를 포함하는 더 큰 개념이기에 일단 수긍했다.
1/2 = 0.5(cos 0° + i sin 0°) 인데, cos과 sin을 계산하면 1/2로 항등식이 나오고 ai의 답과는 다르다. 내가 깨달은 것은 (cos x + i sin x) = e^ix로 표현될 수 있다는 점이다.
따라서 x를 0 (0° = 0 rad)로 생각하면 ai의 대답대로 0.5e^i0 으로 볼 수 있다. 물론 i와 0을 곱하면 0이고 e의 0제곱은 1이기에 결국 정리하면 1/2이 나오긴 한다. 다만 형식이 중요한 것이다.
ai의 2번은 쉽게 해결 가능하다. 그저 방금 정리한 1/2의 극형식에 i만큼 제곱하면 된다. 지수 법칙, 로그 법칙을 이용해 정리해준 결과로 볼 수 있다. (ln(x)는 자연 로그 함수)
3번은 오일러 공식에서의 x를 (ln 0.5)로 생각하면 전개할 수 있다. (e^ix = cos x + i sin x)
4번은 이제 이 식을 복소수로 생각하면 a와 b를 나타낼 수 있고 역삼각함수를 통하면 각도를 구할 수 있다는 내용이다. 이에 대한 내용도 앞서 언급했듯 각도를 구하는 것에 관심이 있었던 시기가 있었기에 관련 글이 존재하여 생략하겠다. [18]
아무튼 이렇게 각도를 알 수 있다는 것을 알게 되었고 영상에서의 나선형 그래프가 왜 만들어지는지에 대해서 이해할 수 있게 되었다.
결론적으로, 1 이상의 실수부를 가진 복소수 z에 대해서 리만 제타 함수가 정상적으로 작동한다는 사실을 알 수 있다. 벌써 복소수의 반 정도까지(실수부 1 이상) 정의역을 확장하는 데에 성공했다. 이제 1 이하의 실수부에서만 작동할 수 있게 만든다면 리만 제타 함수가 완성된다.
함수의 변환

여기도 이해하기 어려웠다. 위 사진처럼 f(s) = s^2의 예시를 들어주고 f를 제타 함수로 바꿔서 표현해주는 과정을 거치는데, 일단 위 사진부터 이해하자면 s를 제곱하면 나오는 값으로 점을 이동시키는 경로를 그리면 아래와 같은 사진이 나온다는 말이다.

우리가 아는 데카르트 좌표계였다면 익숙한 이차함수 그래프가 나왔겠지만 s는 복소수이고, 좌표평면은 복소평면이기에 저런 그래프가 나오게 된다. 이걸 함수의 변환이라고 표현하는 것 같아 이에 대해 자세히 찾아봤다.
위의 간단한 예시와 아래의 복잡한 예시는 모두 ”입력값을 출력값으로 변환한다“라는 말로 설명이 가능하다. 어떤 점의 좌표에 대해서 그 점이 바뀔 경로를 나타내는 선인 것이다. 그렇게 따지면 사실 모든 경계에 실선이 있어야 하는게 아니냐라고 물을 수 있겠으나 그렇게 하면 무슨 뜻인지 이해가 되지 않을 것이기 때문에 특정 경로만 표시한 것이다. 함수의 변환은 우리가 자주 했던 평행이동, 대칭이동에도 성립되는 말이었다.

아무튼 다시 돌아와 리만 제타 함수로 변환해보면 경이로운 무언가가 나왔다. 일단 s가 1 이상인 부분만 표현하자면 저렇다고 한다. f(s) = s^2처럼 입력한 s에 대한 출력의 경로가 저렇다고 이해할 수 있다. 위 사진은 일부 경로만 표현한 것이다.
해석적 확장
이제 s가 1 이하인 부분 또한 정의해야 한다. 여기서 또 한동안 막혀있다가 ”해석적 확장“를 적용한 결과라는 것을 보고 관련 정보를 찾아보기 시작했다. (고교) 미적분 초반에 나오는 무한 등비급수의 합에 해석적 확장을 적용한 사례를 보고 가까스로 이해할 수 있었다. [21]

만약 이런 함수가 있다고 생각하면, f_1(z)가 수렴하려면 무한 등비급수 합의 수렴 조건에 따라서 –1<z<1이어야 한다.

만약 합을 나타낸다면 이렇게 쓸 수 있다. (무한 등비급수의 합 공식) 하지만 이 식만 놓고 보면 z가 1이 아닌 모든 상황에 사용이 가능하다. 하지만 앞에선 –1<z<1이라는 조건이 있었다. 이 두 번째 식을 기반으로 앞선 조건을 없애고 일반화하는 것이 해석적 확장이다.

이와 마찬가지로 리만 제타 함수 또한 1 이상에서만 정의되는 함수를 그대로 반대편으로 끌고 오면 위와 같은 사진이 나오게 되고, 해석적 확장을 복소평면에서 이용한 예시가 된다. 특별한 경우로 감마함수가 있는데, (1/2)! 같은 값들을 계산하게 해주는 해석적 확장의 좋은 예시이다. 감마함수는 나도 관심을 가졌던 함수라서 그 내용을 알고 있기에 반가웠다.

다만 영상에서는 위 과정까지는 아직 추측일 뿐이고 전 구간에서 미분 가능하다는 조건이 추가될 때 저 그래프로 확정된다고 한다. 함수의 변환에서 그래프 사이의 각이 유지되는 특성이 있는데 왼쪽의 그래프 또한 f(1+x) = 1-x에 대한 변환으로 볼 수 있기에 각이 유지되어야 하고, 양 그래프가 대칭처럼 나타나는, 위 사진의 구조로 마침내 확정된다.
여기까지의 결론은, 해석적 확장을 통해서 정의역을 복소수까지 넓히면서 미분가능한 경우가 오직 하나이기에 정의역을 복소수까지 넓힐 수 있게 되었다는 점이다.
이제야 리만 가설에 대한 가장 기초적인 이해가 가능하다. ”리만 제타 함수 ζ(s)=0을 만족하는 모든 자명하지 않은 근의 실수부는 1/2 이다“
다시 말해, 임계점(나선형 그래프가 수렴하는 점)이 0으로 가는 복소수 s의 자명하지 않은 (당연하지 않은) 근의 실수부는 1/2이다. 자명하지 않은 근들과 반대로 자명한 근들은 한참 앞에 언급되었던 음의 짝수들이다. 실수부가 -2n (n은 자연수) 일 때 이들은 자명한(당연한) 영점들이다.

결국 의미가 있는 복소수 근들의 실수부가 1/2이라는 가설이다.

이 유명한 그래프는 x = 1/2일 때의 선을 아까 f(s) = s^2에 대한 그래프처럼 리만 제타 함수에 대해서 변환시킬 때 나타나는 그래프이다. 보면 영점을 계속해서 지나가는 것을 볼 수 있다. 다시 말하자면, 이 그래프는 실수부가 1/2인 복소수들이 영점인 수많은 사례를 보여주는 것이다.
오케이. 이제 리만 가설에 대한 다양한 그래프들과 이게 뭔지에 대한 정보는 알 수 있었다. 다만 굉장히 신기하게도 지금까지 소수에 대한 증명이나 정리는 한 번도 나오지 않았다. 초반 흥미를 위한 이야기로만 소수에 대한 말이 나왔을 뿐 증명하면서 단 한 번도 소수에 대한 이야기를 들을 수 없었다.
제타 함수의 정의역을 복소수까지 늘린 리만 제타 함수에서 영점들의 실수부가 1/2에 있다는 것은 알겠는데, 이게 왜 소수의 규칙성을 알아내는 키라고 불리는 것일까? 이것까지 이해한다면 나는 며칠간 노력한 끝에 결론을 적을 수 있을지 모른다.
소수 정리
이를 이해하려면 먼저 소수 정리에 대해서 알아야 한다고 한다. 소수 계량 함수는 x보다 작거나 같은 소수의 개수를 의미한다. 예를 들어, 𝜋(10)은 2, 3, 5, 7이 존재하므로 4이다.

이와 값이 비슷한 함수가 하나 있는데, x/log x 이다. 이 둘의 그래프를 비교해보면 수가 커질수록 비슷해지며 전 구간에서 4% 이내의 차이를 보인다고 한다. 아무튼 리만 가설을 증명하게 된다면 이러한 소수 정리보다 훨씬 정확한 근삿값을 구하는 것이 가능해지며 그에 따라서 소수의 규칙성에 대한 거대한 단서가 생긴다고 한다.

소수 정리는 위 식을 말하는 것이다. 100년간 난제였으며 1896년, 자크 아다마르와 샤를장 드 라 발레푸생이 독립적으로 해결했다고 한다. [22] 내용은 x가 무한대로 갈 때 pi(x)와 x/ln(x)의 값이 동일하다는 내용이며, 결국 위를 증명하면 소수의 빈도를 x가 무한대로 커질 때 만큼은 정확한 식으로 나타낼 수 있다. 또한 전반적으로도 값이 4% 이내의 차이가 나온다. 소수 정리의 증명에 관해서는 내가 이해할 수 있을만한 풀이를 찾는데 굉장히 오랜 시간이 걸렸다. (결국 완벽하게는 못했다)
여러 풀이 중에서 복소해석학을 사용하지 않고 초등적 방법만으로 소수 정리를 증명할 수 있다고 여겨지는 풀이가 하나 있어서 그 방법을 이해하려 노력했다.

우선 위 사진과 같이 theta(x)를 정의하면 소수 정리의 식을 변형시킬 수 있다. (p는 소수)

일단 다음과 같은 식이 성립한다. 우변은 x 이하의 소수의 개수와 ln(x)의 곱이며, 좌변인 theta(x)는 소수 p에 대해서 ln(p)의 합이다. 이것부터 유도해보자.

ln(x)의 그래프가 양수에서 증가하기 때문에 x 이하의 소수 p에 대해서 위과 같은 식이 성립한다고 볼 수 있다. (p는 x보다 작거나 같을 것이기 때문)

이제 시그마를 취해서 각각의 합으로 나타내도 식이 유지되는 걸 볼 수 있다. 여기서 좌변은 아까 정의한 theta(x)로 볼 수 있고, 우변은 해석하기 좀 어려웠는데, x보다 작은 소수 p의 조건이 충족하면 ln(x)를 더하는 것이라고 한다. 즉, 소수의 개수만큼 ln(x)를 곱하는 것으로 볼 수 있다.

따라서 결국 이 식으로 회귀하게 된다. theta(x)의 상한을 찾았으니 하한도 찾아야 한다.

일단 그룹을 2개로 나눠서 소수의 특징들에 대해서 알아봐야 한다. 사진으로 정리했는데, 읽어보면 이해가 갈 것이라고 생각한다. A는 당연한 말이고, 하한을 구하는 경우라서 ‘이하’라는 조건만 존재하기에 0이라고 생각해도 된다. B는 소수의 개수를 구하고 ln(x/2)라는 가장 낮은 소수에 자연로그를 취한 값을 곱해서 최소를 구해줬다.

각각의 경우에 대한 최소를 찾았으니 위와 같이 하한을 계산할 수 있다. 최소가 되는 경우들의 합이다. 0을 곱한 부분은 0으로 생각하고 다시 한번 정리하고, 상한과 합치면 위와 같은 theta(x)의 범위를 알 수 있게 된다.

여기까지는 어떻게든 이해했으나 역시 현대에 풀린 난제라 그런지 내 수준으로 이해가 불가능했다. 이 이후에 (복소) 부분적분을 통해 맨 처음 제시한 소수 정리의 식과 동치라는 것을 보이는데, 부분적분이 고교 과정에 나오는지 모르겠다만 그것도 증명해야 하기도 하고 theta(x)를 미분하면 pi(x)라는 것을 사용하기 위해서는 체비쇼프 정리가 필요했다. 체비쇼프 정리는 그나마 귀납법, 모순법으로 증명이 가능하다고는 하나.. 과정끼리의 맥락 이해가 안되어서 포기하기로 했다. 어떤 풀이를 찾아봐도 내가 이해할만한 자료가 없다. 특히 리만 가설에 대한 이야기는 자료가 많았는데 소수 정리의 증명에 관한 자료는 한국에 많이 없었다.
아무리 적게 잡아도 최소 10시간 동안 소수 정리에 관해서만 알아보고 있다. 어떻게든 찾아보려고 무슨 ”Elementary Methods in Number Theory“라는 엄청난 수학책의 9장에 초등적 정리가 있다는 정보도 얻어보고 pdf도 열어보고 했는데 도저히 모르겠다. [23]
내 노력과 지식의 부족이겠지만, 이 부분은 거시적으로 넘어가겠다. 소수 정리는 현재 증명되었고 소수의 빈도를 의미하는 pi(x)와 x/ln(x)의 식이 x가 무한대로 갈 때 일치한다는 놀라운 정보를 알 수 있다. 하지만 리만 가설을 증명하게 되면 이보다 훨씬 정확하게 소수의 빈도를 예측할 수 있다는 결론이다.
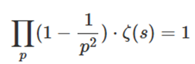
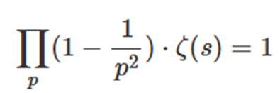
오일러의 곱셈 공식

리만 가설이 소수 정리보다 더 정확하게 소수의 분포를 근사해낼 수 있는 까닭은 리만 제타 함수의 다른 형식에 있다. 이 3번째 형식이 그 대상이다. 오일러의 곱셈 공식을 통해서 유도할 수 있으며 소수들의 곱이 리만 제타 함수로 나타나게 된다.
소수를 변형하여 모두 곱한 값이 다시 리만 제타 함수가 된다. 이러한 특징 때문에 리만 가설이 증명된다면 소수들의 분포를 알아낼 수 있다고 말하는 것이다. 물론 근삿값이지만 거의 일치하게 알아낼 수 있게 된다.

기본적인 이론은 ”자유로운 생각“님의 블로그에서 참고했다. [24]
위 사진의 아이디어를 연속하면 된다. (1/2^s)를 양변에 곱할 때 그 배수만 남고, (1-0.5^s)를 곱할 때 그 배수가 모두 제거된다. 이렇게 모든 배수를 제거하면 우변엔 결국 1이 남게 되고 식을 정리하면 끝난다. 이때 1, 2, 3, 4의 배수를 모두 없앤 것은 2와 3의 배수만 없앤 것과 같다. 즉, 모든 소수의 배수만 없애면 우변은 1이 남을 것이다.

그럼 일단 이렇게 표현할 수 있고, 리만 제타 함수만 남기기 위해서 양변을 정리해주면,

맨 처음 봤던 식이 다시 등장하게 된다. 여기까지 리만 제타 함수와 소수 간의 연관성에 대한 증명이 끝난다.
이제 모든 것을 최대한 전반적으로 정리하면, 기존 제타 함수의 정의역을 복소수까지 확장시킨 것이 리만 제타 함수이며 이 리만 제타 함수의 자명하지 않은 영점들은 실수부가 1/2이라는 것이 리만 가설이고, 이 가설이 증명되면 소수를 포함한 무한 곱으로 나타낸 수식이 사실이 되므로 소수 분포에 대한 정확한 근삿값을 구할 수 있게 되기에 소수에 대한 규칙성의 핵심을 알아낼 수 있다는 결론을 낼 수 있다.
참고한 자료
전반적 이해를 위한 자료)
[1]. 리만 가설 한방 정리![안될과학-긴급과학] (유튜브)
(https://www.youtube.com/watch?v=aUwYZSIgXoY)
[2]. 신에게 도전한 죄로, 풀다가 정신질환에 걸린다는 악마의 문제 (유튜브)
(https://www.youtube.com/watch?v=K7koocpXJfY)
[3]. 우주는 수학적으로 창조되었는가? 글로벌 수학 최대 떡밥 리만가설 (유튜브)
(https://www.youtube.com/watch?v=BtCOL7koNP0)
[4]. 많은 수학자들이 리만가설을 풀기 위해 목숨거는 이유 (유튜브)
(https://www.youtube.com/watch?v=uCnuY_HICNs)
[5]. 도대체 리만 가설이 뭔데? (블로그)
(https://brunch.co.kr/@ysh2084/52)
[6]. [궁금한S] 리만 가설은 무엇인가? (인터뷰)
(https://m.science.ytn.co.kr/program/view.php?mcd=0082&key=201901181608304128)
바젤 문제)
[7]. 바젤 문제 풀이 - (1) (“에이딩”님의 개인 블로그)
(https://m.blog.naver.com/dingding819/140196225368)
[8]. 바젤 문제 풀이 - (2) (“에이딩”님의 개인 블로그)
(https://m.blog.naver.com/dingding819/140196782347)
[9]. (본인) 블로그의 테일러 급수, 매클로린 급수에 대한 글
(https://alpaca-code.tistory.com/187)
[10]. (본인) 간접적인 sin x 테일러 급수 전개 (본 내용은 오일러 공식)
(https://alpaca-code.tistory.com/223)
정의역의 범위를 복소수까지 확장하는 방법, 리만 제타 함수)
[11]. But what is the Riemann zeta function? Visualizing analytic continuation
(https://www.youtube.com/watch?v=sD0NjbwqlYw)
[12]. [난제] 리만가설 / [Eng sub] Riemann hypothesis
(https://www.youtube.com/watch?v=Xslgz1nNcTQ)
Domain Coloring)
[13]. 복소 함수의 표현법(Representation Method of Complex Function)
(https://ghebook.blogspot.com/2021/01/representation-method-of-complex.html)
[14]. Domain coloring (Complex phase portraits)
(https://complex-analysis.com/content/domain_coloring.html)
[15]. 『 수학의 정석 행렬, 벡터, 복소평면 기본 』 (극형식과 편각 참고)
(https://www.yes24.com/Product/Goods/98229395)
180°/pi의 의미)
[16]. (본인) 각도법(육십분법), 호도법. (차이점, 사용되는 곳)
(https://alpaca-code.tistory.com/112)
오일러 공식 증명 (오일러 항등식 증명 과정 중)
[17]. (본인) 세상에서 가장 아름다운 수식 – 오일러 (항)등식의 가장 간단한 증명(유도)
(https://alpaca-code.tistory.com/223)
편각 구하기, 역삼각함수로 각도 구하기)
[18]. (본인) 벡터의 각도 구하기 (라디안, 도, 역탄젠트)
(https://alpaca-code.tistory.com/80)
함수의 변환)
[19]. Lesson Explainer: Transformations of the Complex Plane
(https://www.nagwa.com/en/explainers/978186061385/)
[20]. 대학기초수학: 함수의 변환 및 예시
(https://www.youtube.com/watch?v=xspQ0ESRCtU)
해석적 확장)
[21]. 해석적 확장이란?
(https://dowhati1.tistory.com/4)
소수 정리)
[22]. 소수 정리 (소수의 분포와 응용의 수학적 경이)
(https://jindo1801.tistory.com/entry/소수정리-소수의-분포와-응용의-수학적-경이)
[23]. Elementary Methods in Number Theory
오일러의 곱셈 공식)
[24]. 오일러의 곱셈정리
(https://blog.naver.com/ybpark78/222456696184)
도움을 받은 인공지능)
Perplexity (https://www.perplexity.ai)
wrtn (https://wrtn.ai/)
'수학' 카테고리의 다른 글
| 정의역과 공역이 복소수인 그래프를 나타내는 방법 - Domain Coloring (0) | 2024.12.17 |
|---|---|
| 모든 자연수의 합은 음수? - 라마누잔 합 (1) | 2024.12.17 |
| 바젤 문제 증명 (테일러 급수 활용) (1) | 2024.12.17 |
| 세상에서 가장 아름다운 수식 - 오일러 (항)등식의 가장 간단한 증명(유도). (0) | 2024.03.20 |
| 수학) 어느 각도의 포물선이 가장 멀리 날아가는가? (증명) (5) | 2024.02.03 |
댓글